Contoh persamaan f(x)= x^3 - x - 1
Carilah akar persamaannya dengan metode bisection
Jawab
Pertama-tama kita masukkan range untuk x1 dan x2 yaitu 0 dan 2 pada worksheet di excell
Lalu buat module untuk perhitungannya
Kita masukkan fungsi xm (x1,x2)
xm adalah nilai tengah antara x1 dan x2
Syarat bisection adalah tanda y1 berbeda dengan tanda y2
xm = (x1 + x2) / 2
masukkan nilai x1 pada y1
jika y1*ym negatif, maka x2=xm
jika sebaliknya, maka x1=xm
Lakukan looping sampai error <0.0000001
HAsilnya ketika dirunning
Blog pribadi yang berisi catatan harian, engineering computation, CFD Application, dsb...
Saturday, March 31, 2012
Metode Iterasi (Komputasi Teknik)
Banyak persamaan matematika yang dapat diselesaikan secara
exact tetapi jauh lebih banyak lagi yang hanya dapat diselesaikan dengan metode
numeric.
Istilah `` iteratif'' metode mengacu
pada berbagai teknik yang
menggunakan aproksimasi untuk
mendapatkan solusi yang
lebih akurat untuk sistem
linier di setiap
langkah.
Untuk mencari solusi dari persamaan f(x) = 0 digunakan sejumlah proses trial dan error yang sering juga disebut metode iterasi.
Untuk mencari solusi dari persamaan f(x) = 0 digunakan sejumlah proses trial dan error yang sering juga disebut metode iterasi.
Solusi dari persamaan di atas disebut akar persamaan f(x)=0
Ada beberapa tipe metode iterasi yaitu:
1. Metode Bisection
Metode bisection
sangat sederhana dan dapat diandalkan. Metode ini sering digunakan
untuk mendapatkan pendekatan kasar solusi yang kemudian
digunakan sebagai titik awal untuk metode
yang lebih cepat konvergen. Metode dijamin konvergen ke akar dari fungsi
f jika fungsi f kontinu pada interval (a,b). Fungsi f(a) dan f(b) memiliki
tanda yang berlawanan. Absolte error dibelah dua pada setiap langkah iterasi
sehingga metode akan konvergen secara linear yang relatif lambat. Jika p1 = (a + b) / 2 adalah
titik tengah dari
interval awal, dan pn adalah
titik tengah interval pada
langkah ke-n, maka
perbedaan antara pn dan solusi p dibatasi.
Algoritmanya
sebagai berikut
INPUT:
Function f, endpoint values a, b, tolerance TOL,
maximum iterations NMAX
CONDITIONS:
a < b, either f(a) < 0 and f(b)
> 0 or f(a) > 0 and f(b) < 0
OUTPUT:
value which differs from a root of f(x)=0 by less than TOL
N ← 1
While
N ≤ NMAX { limit iterations to prevent infinite loop
c ← (a + b)/2 new
midpoint
If (f(c) = 0 or (b – a)/2
< TOL then { solution found
Output(c)
Stop
}
N ← N + 1 increment step
counter
If sign(f(c)) = sign(f(a))
then a ← c else b ← c new interval
}
Output("Method
failed.") max number of steps exceede
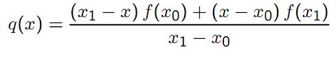
2. Metode False Position
Metode
bisection menjamin konvergensi pada akarnya tetapi relative lambat dan sulit
untuk diaplikasikan untuk system persamaan non linear dua atau lebih. Metode
false position merupakan salah satu cara untuk mengatasi hal ini. Kita mulai
dengan melokasikan interval mula-mula (x1,x2), dan diasumsikan
fungsi berubah tanda hanya sekali di dalam interval ini. Sekarang kita
mendapatkan x3 di dalam interval ini, yang didapat dari persimpangan
antara sumbu x dan garis lurus melalui (x1,f(x1)) dan (x2,f(x2)).
Sekarang kita
memilih interval yang baru dari dua pilihan (x1,x3) dan (x3,x2) tergantung di
interval mana fungsi berubah tanda.
Metode
false position berbeda dari metode bisection hanya di dalam pilihan pembagian interval
pada masing-masing iterasi. Metode ini lebih cepat konvergen ke akar karena merupakan algoritma yang menggunakan bobot yang sesuai dari ujung mula titik x1 dan x2 dengan menggunakan
informasi tentang fungsi, atau
data dari masalah. Dengan kata lain, mencari x3 adalah prosedur statis dalam kasus metode bisection karena untuk x1 dan x2 yang
diberikan, ini memberikan x3 yang identik, tidak
peduli apa fungsi kita ingin memecahkan. Di sisi lain, metode
false position menggunakan
informasi tentang fungsi untuk mendapatkan di x3.
3. Metode
Newton Raphson
Metode Newton-Raphson adalah suatu metode iterasi untuk menyelesaikan persamaan f(x)=0, di mana f diasumsikan mempunyai turunan kontinu f’.
Metode ini secara umum digunakan karena sederhana dan cepat.
Idenya adalah memperkirakan grafik f dengan tangent yang cocok.
Menggunakan nilai x0 didapat dari grafik f, x1 adalah titik persimpangan dari sumbu x dan tangent kurva f pada x0. Maka
Langkah kedua kita menghitung x2 = x1 – f(x1)/f’(x1), langkah ketiga diulang lagi x3 dari x2 menggunakan rumus yang sama.
Algoritmanya adalah
Jika terjadi f’(xn) = 0 untuk beberapa n (lihat algoritma baris 2) ,lalu mulai lagi dengan nilai tebakan baru x0.
Pada baris 4 adalah criteria terminasi. Jika urutan xn konvergen dan memenuhi criteria, kita mendapatkan hasil yang akurat.
4. Metode Secant
Metode ini menggunakan garis perkiraan berdasarkan interpolasi.
Kita asumsikan mempunyai perkiraan dua akar α, katakanlah x0 dan x1.
Kemudian kita menghasilkan sebuah fungsi linear
i
Kita sekarang dapat mengulangi proses tersebut. Gunakan x1
dan x2 untuk membuat garis secant yang lainnya
Hal mendasar perbandingan dari beberapa metode iterasi di atas adalah:
1. Laju konvergensi
2. Jumlah usaha komputer setiap iterasi
3. Sensitivitas metode terhadap nilai awal dan nilai tengah
Metode Bisection :
- urutan konvergensi : satu bit per iterasi
- Evaluasi fungsi per iterasi : 1
- Kehandalan konvergensi : dijamin konvergen
Metode False Position:
- urutan konvergensi : satu bit per iterasi
- Evaluasi fungsi per iterasi : 1
- Kehandalan konvergensi : dijamin konvergen
Metode Newton Raphson:
- urutan konvergensi : dua bit per iterasi
- Evaluasi fungsi per iterasi : 2
- Kehandalan konvergensi : ssensitif terhadap nilai awal.Akan konvergen dengan cepat jika dekat akar
Metode Secant:
- urutan konvergensi : 1.62 bit per iterasi
- Evaluasi fungsi per iterasi : 1
- Kehandalan konvergensi : tidak dijamin konvergen jika tidak dekat dengan akar. Metode ekonomis
Iterasi menggunakan metode Newton-Raphson (Komputasi Teknik)
Metode Newton-Raphson adalah suatu metode iterasi untuk menyelesaikan
persamaan f(x)=0, di mana f diasumsikan mempunyai turunan kontinu f’.
Metode ini secara umum digunakan karena sederhana dan cepat.
Idenya adalah memperkirakan grafik f dengan tangent yang
cocok.
Menggunakan nilai x0 didapat dari grafik f, x1
adalah titik persimpangan dari sumbu x dan tangent kurva f pada x0.
Maka
Langkah kedua kita menghitung x2 = x1 –
f(x1)/f’(x1), langkah ketiga diulang lagi x3
dari x2 menggunakan rumus yang sama.
Algoritmanya adalah
Jika terjadi f’(xn) = 0 untuk beberapa n (lihat
algoritma baris 2) ,lalu mulai lagi dengan nilai tebakan baru x0.
Pada baris 4 adalah criteria terminasi. Jika urutan xn
konvergen dan memenuhi criteria, kita mendapatkan hasil yang akurat.
Sumber : Advanced Engineering Mathematics_Kreyszig 9th
Contoh :
Cari akar persamaan dari f(x) = x3 + x
-1 = 0
Maka f’(x) = 3x2 + 1
xn+1 = xn – ((xn3
+ xn - 1) / (3xn2
+ 1)) = (2xn3 + 1) / (3xn2 + 1)
Coding nya seperti di bawah ini
Setelah di running
Hasilnya masih salah, saya akan perbaiki di lain kesempatan
Bersambung....
Friday, March 30, 2012
Mesh study on two parallel plates - case (Aplikasi CFD)
Terdapat dua plat yang sejajar dengan jarak H=0,1 m dan dengan panjang L=1m, lalu dialirkan udara (laminer) dengan densitas r=1,2 kg/m3.
Terdapat 2 Kasus yang terdapat dalam contoh
ini
Yaitu dengan mengganti salah satu parameter :
- Mengganti viskositas m=4x10-5 kg/m.s dan m= 10-5 kg/m.s dengan menetapkan kecepatan inlet uinlet=0,01m/s.
- Mengganti kecepatan inlet uinlet=0,01m/s dan uinlet=0,04m/s dengan menetapkan viskositas m=4x10-5 kg/m.s
Sama seperti posting saya sebelumnya, hanya saja terdapat perbedaan pada variabel-variabel yang dirubah dan penerapan mesh study / grid dependency test.
Seperti yang kita ketahui, Grid yang baik adalah grid yang bisa mengakomodir peristiwa aliran dalam ruang dan waktu.
Pada lapisan batas terjadi gradien kecepatan yang besar dibandingkan pada area yang lainnya maka dibuat grid yang lebih rapat.
Mesh study diperlukan untuk memperkecil error pada saat iterasi untuk mencapai solusi yang konvergen sehingga tercapai hasil yang lebih baik.
Adapun langkah-langlah pada software CFDSOF sbb:
Variabel viskositas m=4x10-5 kg/m.s dan uinlet=0,01m/s
1. Input alokasi memori
2. Menentukan domain dengan p x l x t = 1 x 0.1 x 1. Pada arah i = 50 cell, dan arah j = 30
3. Pilih menu bangun grid pada arah x. Kemudian inisialisasi segmen. Kita membagi panjang (arah x) menjadi dua segmen sama panjang. Segmen 1 berisi 28 cell dan segmen 2 berisi 20 cell
4. Kita memilih modifikasi segmen untuk mengatur kerapatan sehingga di dekat lapisan batas terdapat grid yang lebih rapat. Kita tentukan faktor pemberat 3
5. Sekarang kita akan membangun grid pada arah y. Kemudian inisialisasi segmen. Kita membagi tinggi (arah y) menjadi tiga segmen. Segmen 1 dari y=0 sampai y=0.025, segmen 2 dari y=0.025 sampai y=0.75, dan segmen 3 dari y=0.075 sampai y=0.1. Segmen 1 berisi 10 cell, segmen 2 berisi 8cell, dan segmen 3 berisi 10 cell
6. Modifikasi segmen pada segmen 1 dan 3 dengan faktor pemberat 4. Pada segmen 1 masukkan faktor pemberat pada titik awal sedangkan pada segmen 3 masukkan faktor pemberat pada titik akhir.
7. Atur cell, inlet 1 pada i1,j2 - j29 dan inlet 2 i50,j2-j29.
8, Menentukkan konstanta fisikal r=1,2 kg/m3 viskositas m=4x10-5 kg/m.s.
9. Menentukkan kondisi sempadan, inlet 1 kecepatan u = 0.01 m/s dan inlet 2 tekanan
10. Melakukan iterasi
11. Adapun grafik hasil grid, kontur tekanan, kontur kecepatan, dan plot xy seperti gambar di bawah ini
![]() |
| Hasil Grid |
![]() |
| Kontur Kecepatan |
![]() |
| Kontur tekanan |
![]() |
| Plot XY |
Variabel viskositas m=10-5 kg/m.s dan uinlet=0,01m/s
Langkah-langkah di dalam CFDSOF sama dengan di atas hanya ada beberapa perubahan, Sebelumnya lakukan dulu reset data sehingga dapat kembali dilakukan iterasi.
Pada menu konstanta fisikal , masukkan viskositas 1e-5.
Adapun hasil grafiknya
![]() |
| Kontur kecepatan |
![]() |
| Kontur tekanan |
Variabel viskositas m=4 x 10-5 kg/m.s dan uinlet=0,04m/s
Kita ganti konstanta fisikal viskositas m=4 x 10-5 kg/m.s dan kondisi sempadan pada inlet 1 uinlet=0,04m/s
Hasil grafiknya seperti berikut
![]() |
| Kontur kecepatan |
![]() |
| Kontur tekanan |
Grafik kontur kecepatan berdasarkan besarnya kecepatan pada berbagai kondisi parameter adalah sebagai berikut :
![]() |
| Kontur kecepatan. uinlet=0,01m/s , m=4x10-5 kg/m.s |
![]() |
| Kontur kecepatan. uinlet=0,01m/s , m=10-5 kg/m.s |
![]() |
| Kontur kecepatan. uinlet=0,04m/s , m=4x10-5 kg/m.s |
Dilihat dari grafik kontur kecepatan di atas,
Untuk kasus 1: viskositas m=4x10-5 kg/m.s dan m= 10-5 kg/m.s dengan menetapkan kecepatan inlet uinlet=0,01m/s. Kita kembali mengacu pada persamaan momentum arah-x 2D adalah
Gaya inersia yang terjadi adalah sama, perbedaan yang terjadi adalah pada gaya gesek akibat perbedaan viskositas. Kondisi dengan viskositas yang lebih tinggi menyebabkan gaya gesek yang lebih tinggi. Gaya gesek yang lebih tinggi menghambat momentum yang terjadi akibatnya aliran berkembang penuh pada jarak yang lebih pendek.
Untuk kasus 2: kecepatan inlet uinlet=0,01m/s dan uinlet=0,04m/s dengan menetapkan viskositas m=4x10-5 kg/m.s.
Pada kondisi ini, kecepatan yang lebih tinggi menyebabkan gaya inersia yang lebih tinggi, sedangkan viskositasnya tetap. Gaya inersia yang lebih tinggi memaksakkan gesekan yang lebih rendah karena tegangan geser pada dinding lebih rendah yang menghambat aliran fluida.
Satu parameter non dimensional yang penting untuk memaparkan karakteristik aliran adalah bilangan Reynolds (Re), yang mendefinisikan ratio antara gaya inersia atas gaya gesek.
Daerah hydrodynamic entry region akan sama jika bilangan Reynolds (Re) sama.
Thursday, March 29, 2012
Integrasi Numerik - Case (Komputasi Teknik)
Integrasikan fungsi table di bawah ini dengan menggunakan
Trapezoidal Rule dan Simpson’s Rule.
Fungsi di atas ditabulasikan pada 10 titik.
Trapezoidal Rule
Integrasi untuk fungsi diatas dengan menggunakan metode
Trapezoidal Rule adalah
Terima kasih atas pencerahan dari teman saya Hasnan sehingga saya mendapat informasi untuk membuat program VBA dengan menggunakan worksheet di Excel.
Pertama-tama kita masukkan nilai-nilai x dan f(x) pada worksheet di Excel.
Kemudian kita membuat command button untuk mengeksekusi jalannya program. Kita pilih Developer pada menubar, pilih design mode, kemudian pilih insert command button. Untuk merubah tampilan nama pada command button kita pilih caption dan silahkan merubahnya sesuai keinginan .
Setelah itu double klik pada command button untuk menulis coding
Coding nya seperti di bawah ini
Pertama-tama kita deklarasikan h dan s seperti gambar di atas.
Kemudian kita menghitung h = (x10 s/d x1) / 9 .
Kembali kita lihat mencari rumus s di atas,maka kita definisikan s untuk x1.
Setelah itu kita lakukan Looping untuk x2 sampai x9. Nilai s yang baru didapat dari nilai s1 dijumlahkan secara looping sampai s9.
Setelah selesai looping, kita tambahkan lagi untuk s10.
Nilai akhir s kita tampilkan pada worksheet (cell (7,3).
Adapun hasil perhitungan seperti gambar di bawah ini.
Simpson's Rule
Rumus untuk mencari integrasi numerik dengan metode Simpson's Rule adalah
Simpson's Rule memerlukan titik-titik ganjil. Kita akan memakai Trapezoidal Rule untuk dua titik pertama dan menggunakan Simpson's Rule pada titik-titik sisanya
Perhitungannya adalah
Coding nya seperti di bawah ini
Untuk dua titik pertama yaitu untuk x1 dan x2, kita memakai trapezoid rule
Untuk x2 sampai x10,dipakai simpson rule dengan penjumlahan hasil dari trapezoid rule.
Setelah running program,maka hasilnya akan seperti gambar di bawah.
Subscribe to:
Comments (Atom)



































